
Transform your understanding of Sexual Reproduction in Plants through our expertly curated collection of 25 solved examples that mirror the most frequently asked questions in NEET, Olympiad and board examinations. Dive deep into the fascinating world of plant reproduction, from the development of reproductive structures to the formation of seeds and fruits. Each example is meticulously explained with detailed diagrams, covering essential topics like pollen grain development, types of embryo sacs, mechanisms of pollination, and the unique process of double fertilization in angiosperms. Whether you're analyzing the structure of anthers and ovules, understanding the different types of endosperm development, or studying the complex journey from fertilization to fruit formation, our step-by-step solutions ensure complete concept clarity. Perfect for NEET aspirants and biology students, this comprehensive guide covers high-yield topics including microsporogenesis, megasporogenesis, apomixis, polyembryony, and parthenocarpy. Join thousands of successful NEET candidates who have mastered plant reproduction through our carefully selected examples that combine theoretical knowledge with practical application.
1. I. Antipodal cell II. Egg cell III. Synergid cell IV. Polar nuclei V. Male gamete VI. Nucellar cell VII. Central cell
Out of the seven names given above, find out haploid cells.
A . I, II, IV and V
B . I, II, III, IV and V
C . I, II, III and V
D . II, IV, III and I
Solution:
Correct Answer : B
2. The total number of nuclei involved in triple fusion is/are
A . 2
B . 3
C . 4
D . 1
Solution:
Correct Answer : B
3. If stem has 10 number of chromosomes then find out
A - number of chromosome in endosperm.
B - number of chromosome in egg cell.
C - number of chromosome in secondary nucleus respectively.
A . 15,15,20
B . 10, 15, 20
C . 15, 5, 10
D . 10, 5, 15
Solution:
Correct Answer : C
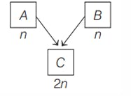
4. Find out A,B and C in the flowchart given below

A . A-Embryo, B-Male gamete, C-Female gamete
B . A-Male gamete, B-Female gamete, C-Embryo
C . A-Female gamete, B-Embryo, C-Male gamete
D . A-Male gamete, B-Embryo, C-Female gamete
Solution:
Correct Answer : B
5. In an angiosperm, male plant is diploid and female plant is tetraploid then endosperm will be
A . haploid
B . triploid
C . tetraploid
D . pentaploid
Solution:
Correct Answer : D
6. Single shield shaped cotyledon of grass is known as :-
A . Tigellum
B . Scutellum
C . Coleoptile
D . Coleorhiza
Solution:
Correct Answer : B
7. Epicotyl has a shoot apex and few leaf primordia enclosed in a hollow foliar structure known as :-
A . Coleoptile
B . Coleorhiza
C . Scutellum
D . Tigellum
Solution:
Correct Answer : A
8. Which of the following is not present in embryo of gram :-
A . Radicle
B . Hypocotyl
C . Epicotyl
D . Coleoptile
Solution:
Correct Answer : D
9. Free nuclear division in an angiosperm takes place during :-
A . Pollen formation
B . Endosperm formation
C . Embryo formation
D . Flower formation
Solution:
Correct Answer : B
10. In In figure given below, find out the type of seed and identify coleoptile, coleorhiza and epiblast.

A . Monocots-A B, and C
B . Dicots-F, A and C
C . Monocots-B, G and D
D . Dicots-D, E and A
Solution:
Correct Answer : C
11. Identify the parts labelled as A to D in structure of seed given below.

A . A-Coleoptile, B-Plumule, C-Radicle, D-Coleorhiza
B . A-Plumule, B-Coleoptile, C-Coleorhiza, D-Radicle
C . A-Coleorhiza, B-Radicle, C-Plumule, DColeoptile
D . A-Radicle, B-Plumule, C-Coleoptile, D-Coleorhiza
Solution:
Correct Answer : A
12. Which of the given statements are true?
I. During the development of a dicot embryo, heart-shaped embryo is followed by globular embryo.
II. The part of embryonal axis above the level of cotyledons is epicotyl, while the part below the level of cotyledons is hypocotyl.
III. Monocot seeds possess a single cotyledon represented by scutellum.
A . I and II
B . II and III
C . I and III
D . I, II and III
Solution:
Correct Answer : B
13. Adventive embryony in Citrus is due to :-
A . Nucellus
B . Integuments
C . Zygotic embryo
D . Fertilized egg
Solution:
Correct Answer : A
14. Which of the following will lose its economic value if fruits are produced through parthenocarpy?
A . Citrus
B . Banana
C . Grapes
D . Pomegranate
Solution:
Correct Answer : D
15. In which method megaspore mother cell directly gives rise to an embryo sac without meiosis?
A . Diplospory
B . Adventive embryony
C . Apospory
D . Apogamy
Solution:
Correct Answer : A
16. After fertilization the outer integument of ovule changes into -
A . testa
B . tegmen
C . fruit
D . seed
Solution:
Correct Answer : A
17. This is an example of a very old viable seed excavated from Arctic Tundra. The seed germinated and flowered after an estimated record of 10,000 years of dormancy. It is
A . Victoria
B . Lupinus arcticus
C . Phoenix dactylifera
D . Strobilanthes kunthiana
Solution:
Correct Answer : B
18. Assertion: Coconut tree is distributed in coastal areas over a large part of the world.
Reason: Coconut fruit can float and get dispersed over thousands of kilometres before losing viability
A . If both Assertion and Reason are true, but Reason is the correct explanation of Assertion
B . If both Assertion and Reason are true, but Reason is not the correct explanation of Assertion
C . If Assertion is true, but Reason is false
D . If both Assertion and Reason are false
Solution:
Correct Answer : A
19.Type of cell division takes place in apomixis is
A . reductional
B . meiosis
C . Both (1) and (2)
D . mitosis
Solution:
Correct Answer : D
20. Assertion (A) Mango is a false fruit.
Reason (R) The thalamus also contributes to fruit formation in false fruits.
A . If both Assertion and Reason are true, but Reason is the correctexplanation of Assertion
B . If both Assertion and Reason are true, but Reason is not the correctexplanation of Assertion
C . If Assertion is true, but Reason is false
D . If Assertion is false, but Reason is true
Solution:
Correct Answer : D